• Предмет: Алгебра
  • Автор: Аноним
  • Вопрос задан 9 лет назад

Разложите на множители : 2) 35а^2-42аб+10а^2 б -12аб^2.
3) х^3+х^2 у + х^2+ху.
4) мн^4 - н^4+мн^3-н^3.

Ответы

Ответ дал: Trover
0
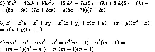
2);35a^2-42ab+10a^2b-12ab^2=7a(5a-6b)+2ab(5a-6b)=\=(5a-6b)cdot(7a+2ab)=a(5a-7b)(7+2b)\\3);x^3+x^2y+x^2+xy=x^2(x+y)+x(x+y)=(x+y)(x^2+x)=\=x(x+y)(x+1)\\4);mn^4-n^4+mn^3-n^3=n^4(m-1)+n^3(m-1)=\=(m-1)(n^4-n^3)=n^3(m-1)(n-1)
Приложения:
Вас заинтересует