Ответы
Ответ дал:
0
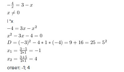
| *x
ответ: -1; 4
Приложения:

Ответ дал:
0
-4=(3-х) х
-4-(3-х) х=0
-4+(-3+х)×х=0
-4-3х+х^2=0
х^2-3х-4=0
D=9-4×(-4)=9+16=25 (5)
x1=3+5/2=4
x2=3-5/2=-1
-4-(3-х) х=0
-4+(-3+х)×х=0
-4-3х+х^2=0
х^2-3х-4=0
D=9-4×(-4)=9+16=25 (5)
x1=3+5/2=4
x2=3-5/2=-1
Приложения:

Вас заинтересует
2 года назад
2 года назад
7 лет назад
9 лет назад
9 лет назад