• Предмет: Алгебра
  • Автор: dsoiosidoasuyyua
  • Вопрос задан 9 лет назад

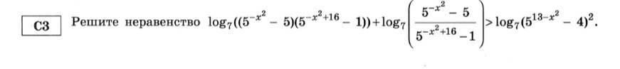
Решите неравенство, пожалуйста

Приложения:

Ответы

Ответ дал: lilyatomach
0

Ответ:

решение представлено на фото

Объяснение:

Приложения:
Вас заинтересует