Ответы
Ответ дал:
0
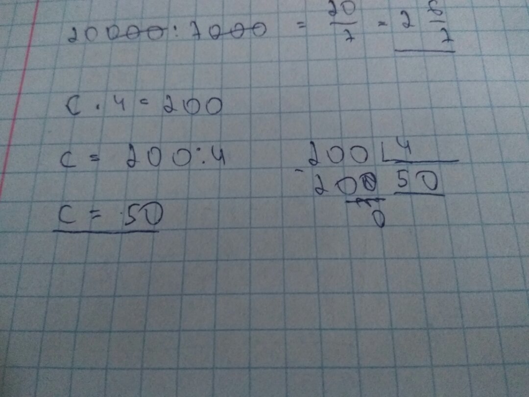
с=200/4
с=50
Вот и все
Ответ дал:
0
Смотри вложения.
P.s. Будь другом, если все верно, то отметь задание как лучшее.
P.s. Будь другом, если все верно, то отметь задание как лучшее.
Приложения:
Вас заинтересует
2 года назад
2 года назад
7 лет назад
10 лет назад
10 лет назад