• Предмет: Алгебра
  • Автор: psix4354
  • Вопрос задан 9 лет назад

Помогите срочно!!!!!

Приложения:

Ответы

Ответ дал: Trover
0
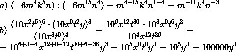
a);(-6m^4k^5n):(-6m^{15}n^4)=m^{4-15}k^4n^{1-4}=m^{-11}k^4n^{-3}\\b);frac{(10x^2t^5)^6cdot(10x^0t^2y)^3}{(10x^3t^9)^4}=frac{10^6x^{12}t^{30}cdot10^3x^0t^6y^3}{10^4x^{12}t^{36}}=\=10^{6+3-4}x^{12+0-12}t^{30+6-36}y^3=10^5x^0t^0y^3=10^5y^3=100000y^3
Приложения:
Вас заинтересует