• Предмет: Математика
  • Автор: AltMarsh
  • Вопрос задан 9 лет назад

Решите! Срочно! Пожалуйста!

Приложения:

Ответы

Ответ дал: Trover
0
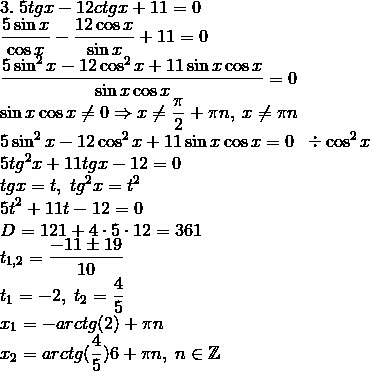
2.;4cos^2x-11sin x-11=0\4-4sin^2x-11sin x-11=0\-4sin^2x-11sin x-7=0\4sin^2x+11sin x+7=0\sin x=t,;sin^2x=t^2,;tin[-1;;1]\4t^2+11t+7=0\D=121-4cdot4cdot7=121-112=9\t_{1,2}=frac{-11pm9}4\t_1=1\t_2=-4;-;He;nogx.\sin x=1Rightarrow x=fracpi2+pi n,;ninmathbb{Z}\\3.;3sin^2x+8sin xcos x+4cos^2x=0;;;divcos^2x\3tg^2x+8tg x+4=0\tgx=t,;tg^2x=t^2\3t^2+8t+4=0\D=64-4cdot3cdot4=16\t_{1,2}=frac{-8pm4}6\t_1=-2,;t_2=-frac23begin{cases}tgx=-2\tgx=-frac23end{cases}Rightarrowbegin{cases}x_1=-arctg(2)+pi n\x=-arctg(frac23)+pi nend{cases},;ninmathbb{Z}\\\4.;5tgx-12ctgx+11=0\frac{5sin x}{cos x}-frac{12cos x}{sin x}+11=0\frac{5sin^2x-12cos^2x+11sin xcos x}{sin xcos x}=0\sin xcos xneq0Rightarrow xneqfracpi2+pi n,;xneqpi n\5sin^2x-12cos^2x+11sin xcos x=0;;divcos^2x\5tg^2x+11tgx-12=0\tgx=t,;tg^2x=t^2\5t^2+11t-12=0\D=121+4cdot5cdot12=361
t_{1,2}=frac{-11pm19}{10}\t_1=-2,;t_2=frac45\x_1=-arctg(2)+pi n\x_2=arctg(frac45)6+pi n,;ninmathbb{Z}
Приложения:
Вас заинтересует