Ответы
Ответ дал:
0
Приложения:

Ответ дал:
0
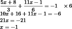
там на 6 не умножается в конце после знака =
Ответ дал:
0
иск равен÷61 решение легкое
Приложения:

Вас заинтересует
2 года назад
2 года назад
9 лет назад
9 лет назад
10 лет назад