• Предмет: Математика
  • Автор: Аноним
  • Вопрос задан 9 лет назад

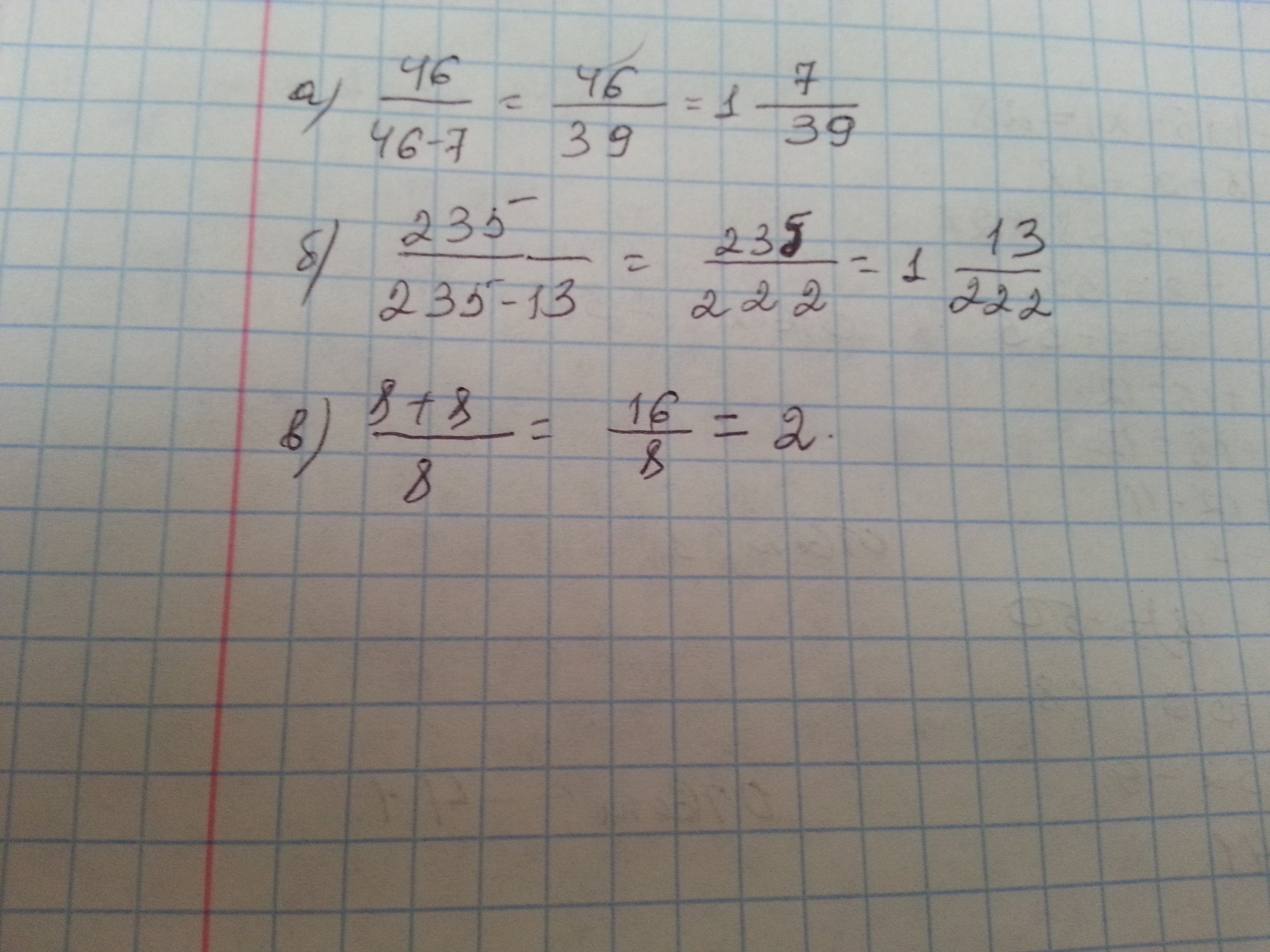
1)запишите в виде смешанного числа дробь a/b если 1) a=46, а знаменатель- на 7 меньше числителя.

2) а=235, а знаменатель- на 13 меньше числителя.

3) b = 8, а знаминаель - на 8 больше знаменателя

Ответы

Ответ дал: amin07am
0
Ответ ответ ответ ответ ответ ответ ответ
Приложения:
Вас заинтересует