• Предмет: Алгебра
  • Автор: angella73
  • Вопрос задан 9 лет назад

Срочно решить
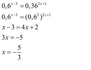
0.6^х-3>=0.36^2х+1

Ответы

Ответ дал: vanoles
0
подробное решение прикреплено
Приложения:
Вас заинтересует