• Предмет: Геометрия
  • Автор: Tamara199898
  • Вопрос задан 11 лет назад

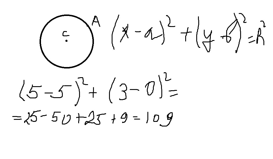
составить уравнение окружности если точка А (5;3) - точка окружности, С (5;0) - Ццентр окружности

Ответы

Ответ дал: grisenko97
0

Не уверенна, но по моему так) Во вложениях

Приложения:
Вас заинтересует