• Предмет: Химия
  • Автор: spspspspsp
  • Вопрос задан 9 лет назад

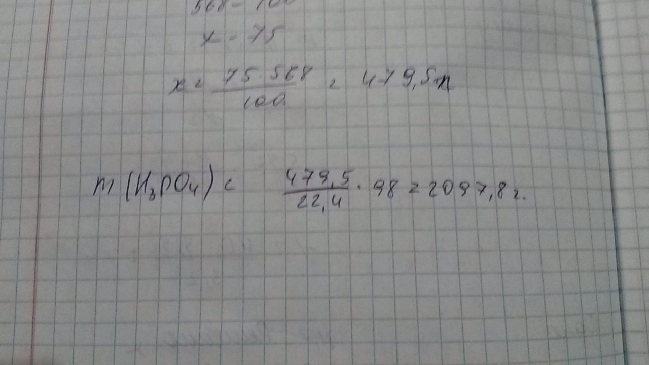
Какую массу ортофосфорной кислоты можно получить из 568 грамм оксида фосфора 5, если выход продукта равен 75 процентов

Ответы

Ответ дал: ggreates000001
0
Ааааааааааааааааааааа
Приложения:
Вас заинтересует