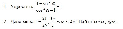
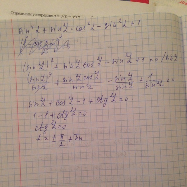
sin^4(a)+sin^2(a)*cos^2(a)-sin^2(a)+1
Нужна помощь! Пожалуйста, объясните как делать.
Приложения:
Ответы
Ответ дал:
0
По моему так.................
Приложения:
Вас заинтересует
2 года назад
2 года назад
7 лет назад
7 лет назад
10 лет назад
10 лет назад