• Предмет: Алгебра
  • Автор: AnastasiyaSwon
  • Вопрос задан 9 лет назад

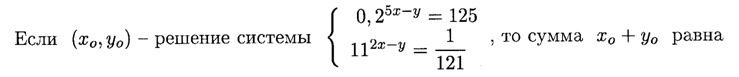
Помогииите,пожалуйста, очень срочно нужно

Приложения:

Ответы

Ответ дал: wangross
0
Ответ------------------------
Приложения:
Вас заинтересует