Ответы
Ответ дал:
0
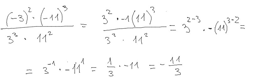
1. нужно привести числа к одинаковому основанию. любое число в квадрате даст значение со знаком +, поэтому можно просто записать 3². отрицательное число в кубе даст отрицательное значение, поэтому минус сразу выносим за скобки.
2. по правилу степеней для чисел с одинаковым основанием, при умножении степени складываются, при делении вычитаются.
3. отрицательную степень можно переписать как положительную степень, только возводимое число должно перейти в делитель дроби. т.е. 3 в минус первой = 1/3.
2. по правилу степеней для чисел с одинаковым основанием, при умножении степени складываются, при делении вычитаются.
3. отрицательную степень можно переписать как положительную степень, только возводимое число должно перейти в делитель дроби. т.е. 3 в минус первой = 1/3.
Приложения:
Вас заинтересует
2 года назад
10 лет назад
10 лет назад
10 лет назад
10 лет назад