Ответы
Ответ дал:
0
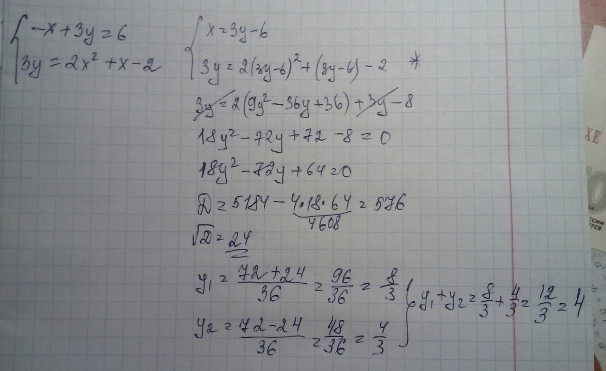
{-x+3y=6 (1)
{3y=2x^2+x-2 (2)
(1)-x+3y=6
-x=6-3y
x=3y-6
(2)3y=2(3y-6)^2+3y-6-2
0=2(9y^2-36y+36)-8
18y^2-72y+72-8=0
18y^2-72y+64=0
9y^2-36y+32=0
D=1296-1152=144
y1=(36+12)/18=48/18=8/3
y2=(36-12)/18=24/18=4/3
Сумма корней= 8/3+4/3=12/3=4
Ответ: 4
Ответ дал:
0
см. вложение
=====================================================
Приложения:

Вас заинтересует
2 года назад
8 лет назад