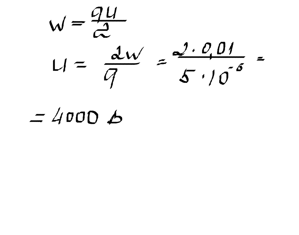
При сообщении конденсатору заряда, равного 5 ∙ 10-6 Кл, его энер-гия оказалась равной 0,01 Дж. Определите напряжение на обкладках кон-денсатора.
Ответы
Ответ дал:
0
решение во вложении, извиняюсь за столь корявый почерк)))))))))))))))))))))))))))))))))))))))))))))))))))))))))))))))))))))))))))))))))))))))
Приложения:

Вас заинтересует
2 года назад
10 лет назад
10 лет назад