• Предмет: Математика
  • Автор: MiMiMali
  • Вопрос задан 9 лет назад

Помогите пожалуйста решить.

Приложения:

Ответы

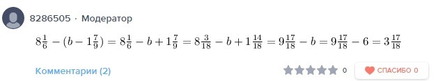
Ответ дал: 8286505
0
8frac{1}{6}-(b-1frac{7}{9})=8frac{1}{6}-b+1frac{7}{9}=8frac{3}{18}-b+1 frac{14}{18}=9frac{17}{18}-b=9frac{17}{18}-6=3frac{17}{18}
Приложения:
Вас заинтересует