• Предмет: Математика
  • Автор: grafula666
  • Вопрос задан 9 лет назад

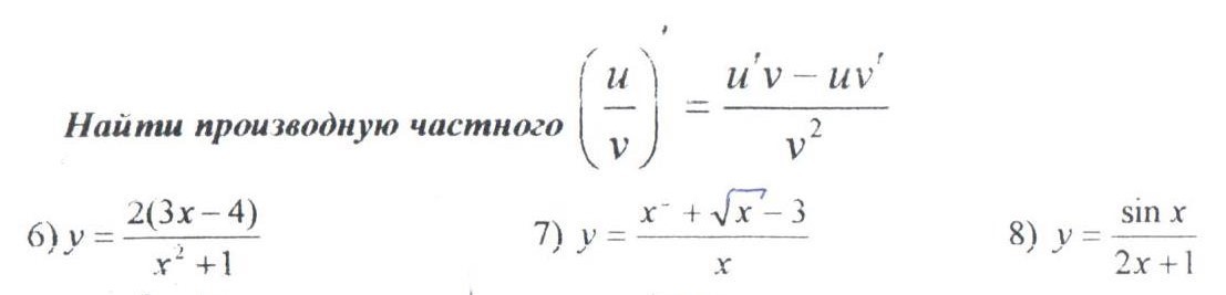
ПОМОГИТЕ ПОЖАЛУЙСТА С ЗАДАНИЯМИ,БУДУ ОЧЕНЬ ВАМ БЛАГОДАРНА

Приложения:

Ответа на этот вопрос пока нет. Попробуйте найти его через форму поиска.

Вас заинтересует