Ответы
Ответ дал:
0
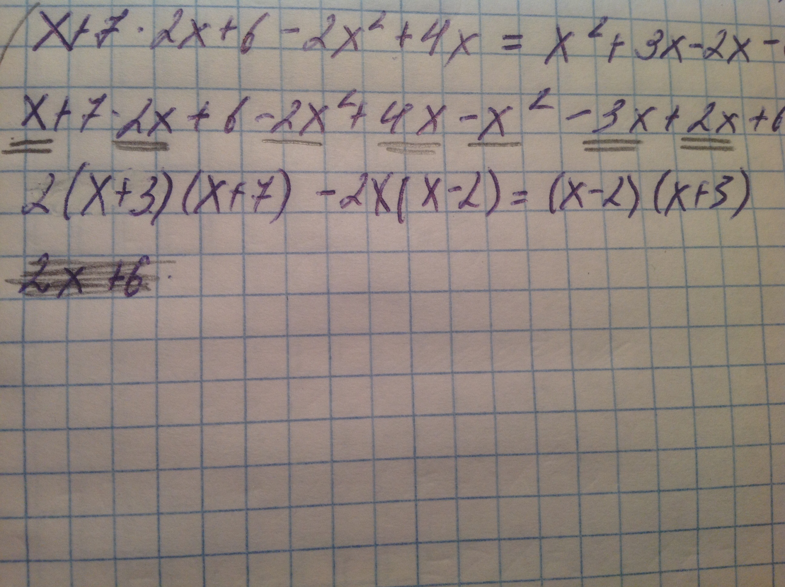
2(x+3)(x+7) - 2x(x-2) = (x-2)(x+3)
2(x²+7x+3x+21) - (2x²-4x) = x²-2x+3x-6
2x²+14x+6x+42-2x²+4x-x²+2x-3x+6 = 0
-x²+23x+48 = 0
x²-23x-48 = 0
D = 529 - 4*(-48) = 721
√D = √721
x₁ = (23-√721)/2
x₂ = (23+√721)/2
2(x²+7x+3x+21) - (2x²-4x) = x²-2x+3x-6
2x²+14x+6x+42-2x²+4x-x²+2x-3x+6 = 0
-x²+23x+48 = 0
x²-23x-48 = 0
D = 529 - 4*(-48) = 721
√D = √721
x₁ = (23-√721)/2
x₂ = (23+√721)/2
Вас заинтересует
2 года назад
7 лет назад
10 лет назад
10 лет назад