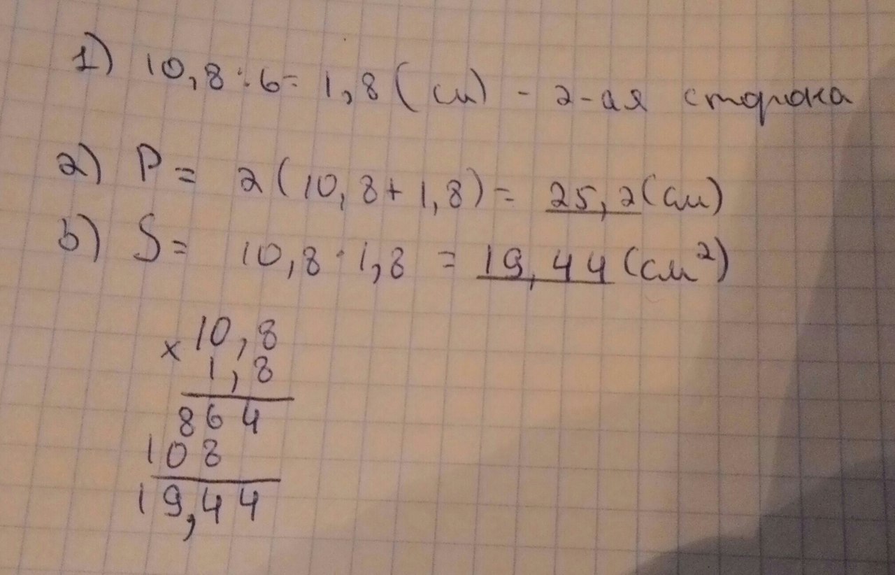
вычисли периметр и полощадь прямоугольника если длина одной из его сторон равна 10 см8 мм а длина другой в 6 раз меньше
Ответы
Ответ дал:
0
удачи. легкая вроде задача.
Приложения:

Вас заинтересует
2 года назад
2 года назад
7 лет назад
7 лет назад
9 лет назад
9 лет назад