• Предмет: Математика
  • Автор: Badabum12345
  • Вопрос задан 9 лет назад

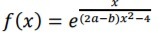
Вычислить, область функции и проверить ее четность.
Вычислить точки пересечения с осями.

Приложения:

Ответы

Ответ дал: amin07am
0
Ответ ответ ответ ответ ответ ответ ответ
Приложения:
Вас заинтересует