• Предмет: Математика
  • Автор: polina111002
  • Вопрос задан 9 лет назад

Даю 20 баллов!
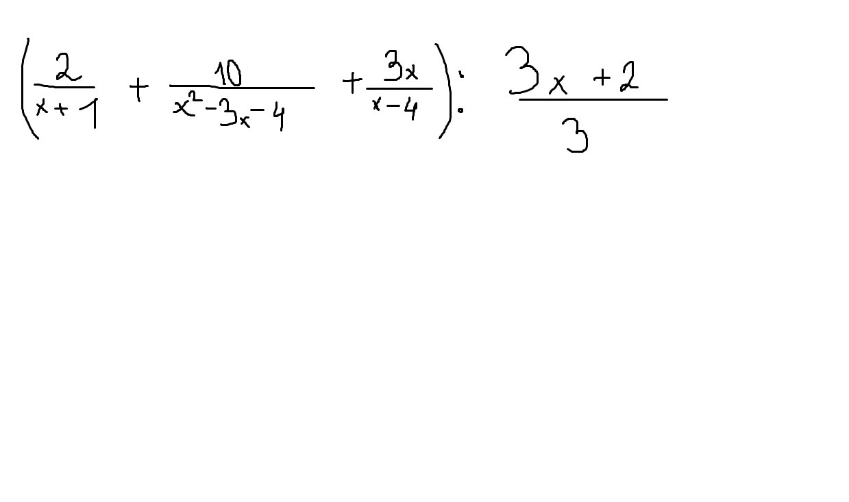
Упростите выражение.
Пожалуйста!! Второй день решить не могу!
В ответах в конце учебника посмотрела, ответ 3/х-4, но никак его получить не могу!

Приложения:

Ответа на этот вопрос пока нет. Попробуйте найти его через форму поиска.

Вас заинтересует