• Предмет: Математика
  • Автор: SofiAgatJanos712
  • Вопрос задан 9 лет назад

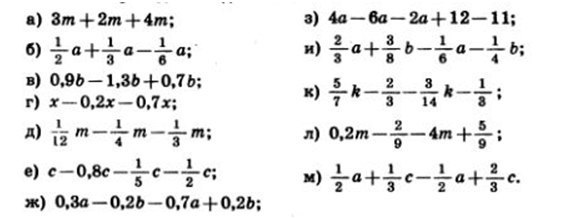
1. Привести подобные слагаемые.

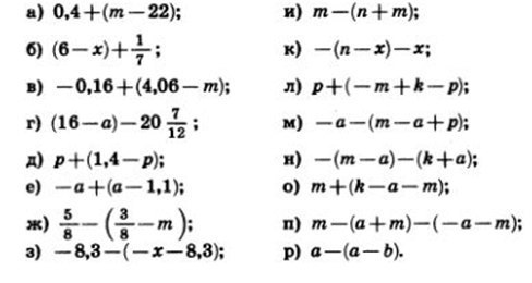
2. Упростить, предварительно раскрыв скобки.

Приложения:

Ответа на этот вопрос пока нет. Попробуйте найти его через форму поиска.

Вас заинтересует