Ответы
Ответ дал:
0
1) x=3
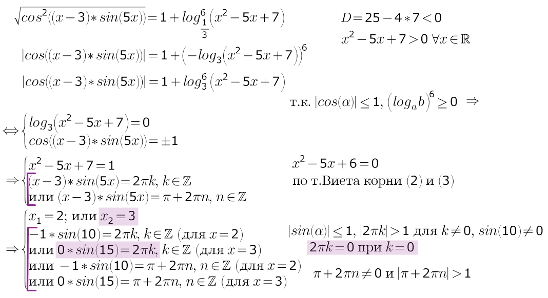
корень квадратный из числа в квадрате = модулю этого числа;
косинус угла - это число, по модулю не превосходящее 1,
следовательно, в правой части равенства не должно получиться число большее 1, следовательно, логарифм в четной степени должен быть обязательно равен нулю)))
возможные корни уравнения --только два числа: (2) и (3)
число 2 не подходит, т.к. аргумент для косинуса получается не pi, не 2pi, не 3pi и, следовательно, значение косинуса никак не будет равно 1 или (-1)
2) нужно раскрыть модуль по определению...
и рассмотреть два случая))
x = log₀.₃(0.08) ≈ 2.1
корень квадратный из числа в квадрате = модулю этого числа;
косинус угла - это число, по модулю не превосходящее 1,
следовательно, в правой части равенства не должно получиться число большее 1, следовательно, логарифм в четной степени должен быть обязательно равен нулю)))
возможные корни уравнения --только два числа: (2) и (3)
число 2 не подходит, т.к. аргумент для косинуса получается не pi, не 2pi, не 3pi и, следовательно, значение косинуса никак не будет равно 1 или (-1)
2) нужно раскрыть модуль по определению...
и рассмотреть два случая))
x = log₀.₃(0.08) ≈ 2.1
Приложения:


Вас заинтересует
2 года назад
7 лет назад
7 лет назад
9 лет назад
10 лет назад