• Предмет: Алгебра
  • Автор: Sheris787
  • Вопрос задан 9 лет назад

Даю 20 баллов!
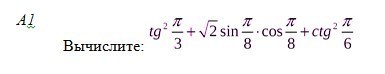
Вычислите
Пожалуйста с решением!

Приложения:

Ответа на этот вопрос пока нет. Попробуйте найти его через форму поиска.

Вас заинтересует