• Предмет: Алгебра
  • Автор: 09862783737
  • Вопрос задан 9 лет назад

Помогите Сделать СРОЧНО!

Приложения:

Ответы

Ответ дал: aleksandr1799
0
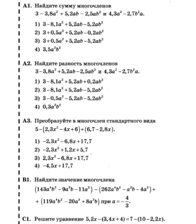
a1 - 3
a2 - 1
a3 - 2
b1 -     -27a^2 = -27*16/9 = -48
c1 -    -1=0.4x
            x= -2.5
Ответ дал: aleksandr1799
0
С1 x(5,2-3,4-2,2)=7-10+4
Вас заинтересует