Помогите пожалуйста!
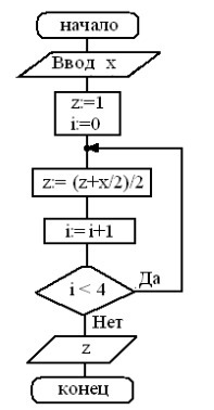
Дана блок-схема. Какое значение будет иметь z на выходе, если x=40? (При решении и в ответе округляй до десятых)
Приложения:

Ответа на этот вопрос пока нет. Попробуйте найти его через форму поиска.
Вас заинтересует
2 года назад
7 лет назад
7 лет назад
9 лет назад
9 лет назад