Ответы
Ответ дал:
0
х(х-1)6=2(Вынесли за скобки(упростили), а сейчас домножим на 6, дабы избавиться от знаменателя)*6
Получаем: х(х-1)=12. В итоге:х1=12 и х-1=12; х2=13. Ответ:х1=12; х2=13
Получаем: х(х-1)=12. В итоге:х1=12 и х-1=12; х2=13. Ответ:х1=12; х2=13
Ответ дал:
0
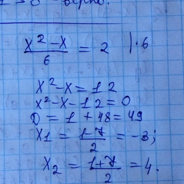
Вроде бы всё понятно)
Приложения:

Вас заинтересует
2 года назад
2 года назад
7 лет назад
9 лет назад
9 лет назад