• Предмет: Геометрия
  • Автор: kolufgdnfg
  • Вопрос задан 9 лет назад

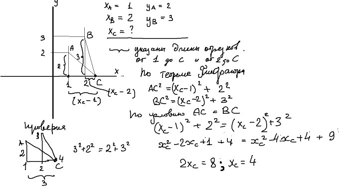
найдите на оси х точку,равноудалённую от точек (1;2) и (2;3)
объясните понятным языком

Ответы

Ответ дал: bzsr1
0
все разрисовал. Надеюсь, что понятно
Приложения:
Ответ дал: kolufgdnfg
0
Большое спасибо
Вас заинтересует