Ответы
Ответ дал:
0
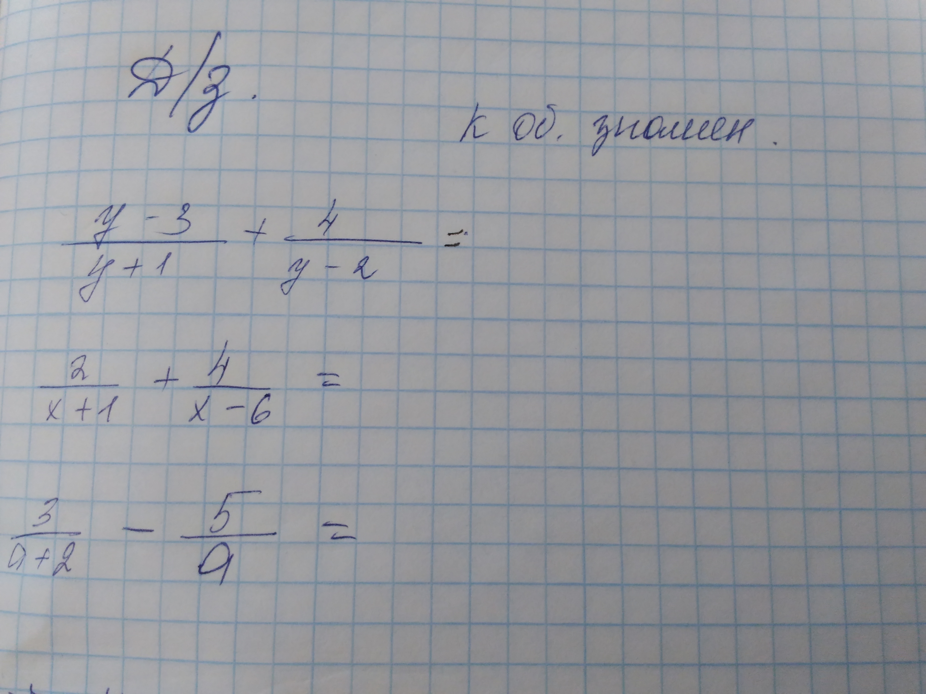
у-3/(у+1) + 4/(у-2)=(у-3)*(у-2)+4*(у+1)/ (у+1)*(у-2)=(у²-5у+6+4у+4)/(у+1)*(у-2)=
= (у²-у+10) / (у+1)*(у-2)
2/(х+1) + 4/(х-6)= (2*(х-6) + 4*(х+1)) / (х+1)*(х-6) =(2х-12+4х+4) /(х+1)*(х-6)=
= 6х-8 / (х+1)*(х-6) =2(3х-4)/(х+1)*(х-6)
3/(а+2) - 5/а= (3*а -5*(а+2)) /а*(а+2) = 3а-5а-10 /а*(а+2)=-2(а-5)/а*(а+2)
= (у²-у+10) / (у+1)*(у-2)
2/(х+1) + 4/(х-6)= (2*(х-6) + 4*(х+1)) / (х+1)*(х-6) =(2х-12+4х+4) /(х+1)*(х-6)=
= 6х-8 / (х+1)*(х-6) =2(3х-4)/(х+1)*(х-6)
3/(а+2) - 5/а= (3*а -5*(а+2)) /а*(а+2) = 3а-5а-10 /а*(а+2)=-2(а-5)/а*(а+2)
Вас заинтересует
2 года назад
2 года назад
7 лет назад
7 лет назад
10 лет назад
10 лет назад
10 лет назад