• Предмет: Алгебра
  • Автор: Букашка11
  • Вопрос задан 9 лет назад

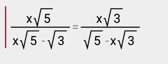
Найдите корень уравнения:

Приложения:

Ответы

Ответ дал: sevenneonstar
0
.....................
Приложения:
Вас заинтересует