Ответы
Ответ дал:
0
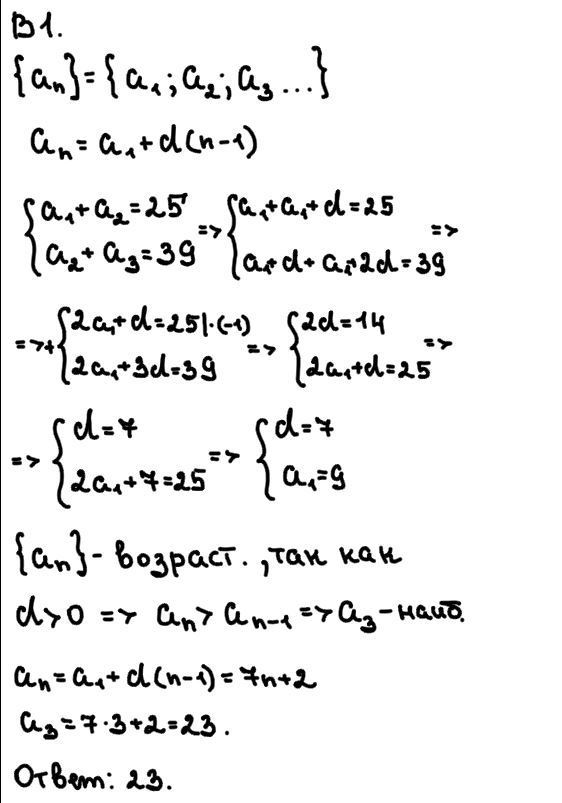
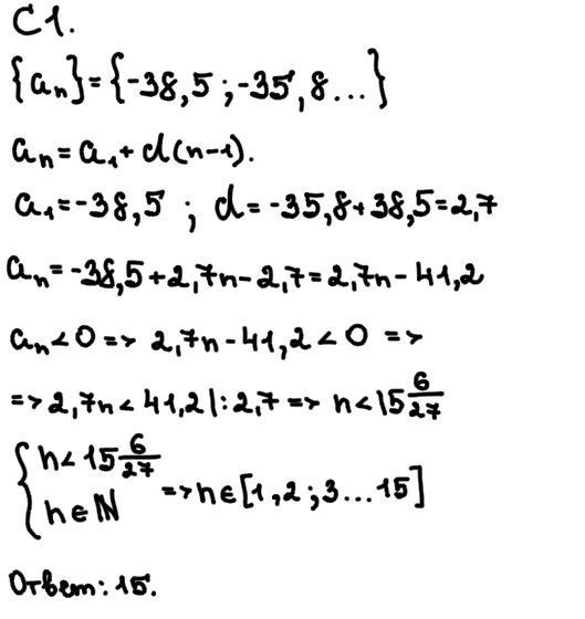
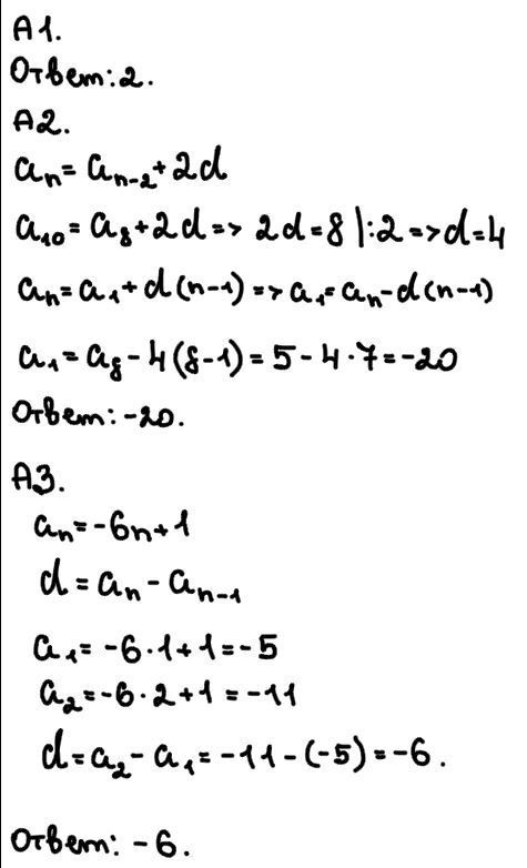
Ответы с решениями на рисунках.
Приложения:



Вас заинтересует
2 года назад
7 лет назад
9 лет назад
9 лет назад
10 лет назад
10 лет назад