• Предмет: Алгебра
  • Автор: ManagerStreet
  • Вопрос задан 9 лет назад

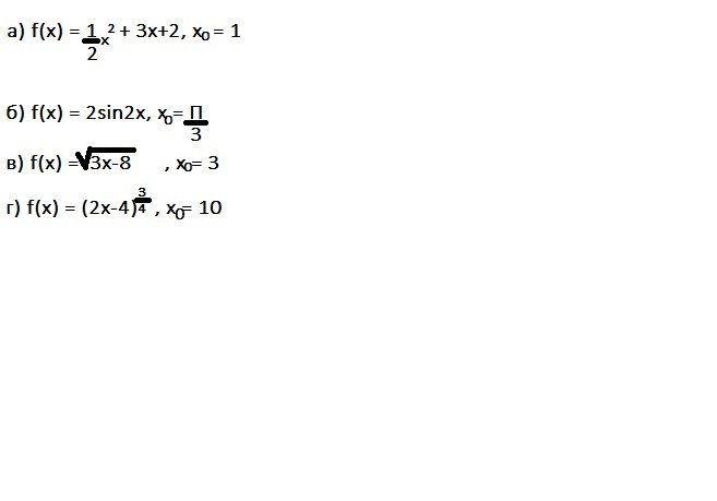
Найдите угловой коэффициент касательной, проведенной к графику функции y=f(x) в точке с абсциссой x0

С подробным решением пожалуйста!

Приложения:

Ответа на этот вопрос пока нет. Попробуйте найти его через форму поиска.

Вас заинтересует