одновременно отправляются в 168 км пробега первый со скоростью на два километра больше чем второй и прибывает к финишу на 2:00 раньше второго Найдите скорость велосипедиста пришедшего к финишу вторым
Ответы
Ответ дал:
0
Пусть х (км/ч) - скорость 2-го, тогда х+10 (км/ч) - скорость 1-го
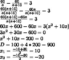
На всю дистанцию Первый потратил: 60/x+10
На всю дистанцию Второй потратил: 60/x
Разница во времени 3 часа: (картинка)
Скорость не может быть отрицательной, значит нам подходит только первое значение х.
Ответ: скорость Второго велосипедиста 10 км/ч
На всю дистанцию Первый потратил: 60/x+10
На всю дистанцию Второй потратил: 60/x
Разница во времени 3 часа: (картинка)
Скорость не может быть отрицательной, значит нам подходит только первое значение х.
Ответ: скорость Второго велосипедиста 10 км/ч
Приложения:

Ответ дал:
0
аааа
Вас заинтересует
7 лет назад
7 лет назад
9 лет назад
10 лет назад