Из подготовки к ГИА.
II часть:
1) Сократьть дробь (С ОБЪЯСНЕНИЕМ!!!)
2) Решить задачу (не обязательно)
Приложения:


Ответы
Ответ дал:
0
Вот так вроде, или до конца решить вот так:
Приложения:


Ответ дал:
0
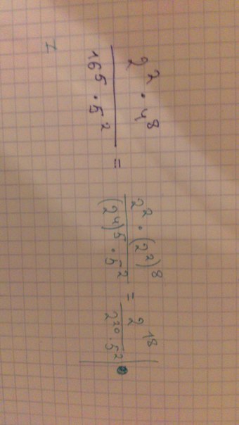
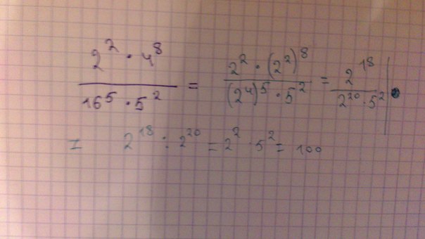
сократить дробь
2² *4 ⁸___ =2² * 2¹⁶ = 2 ¹⁸₋²⁰ : 5²= 2⁻² : 25=1 /4*1/25=1/100=0,01 ( так просят писать на гиа
16⁵ * 5² 2²⁰ * 5²
задача
1 труба х л/ мин
2 труба х+4 л/мин
48 - 48 = 2
х х+4
48*(х+4) - 48х= 2* х (х+4)
48х+192- 48х= 2х² +8х
2х² +8х-192 =0 :2
х²+4х-96=0
Д=16-4*(-96)= 400
х1=-4+20 = 8 литров х2= -4-20 =-12 не подходит по уловию
2 2
Ответ 8 литров
Приложения:


Вас заинтересует
2 года назад
2 года назад
8 лет назад
10 лет назад
10 лет назад
10 лет назад