Ответы
Ответ дал:
0
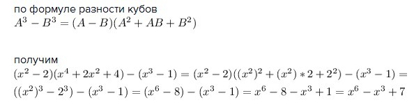
по формуле разности кубов

получим


получим
Приложения:
Вас заинтересует
2 года назад
7 лет назад
10 лет назад
10 лет назад
10 лет назад