• Предмет: Алгебра
  • Автор: 23139
  • Вопрос задан 9 лет назад

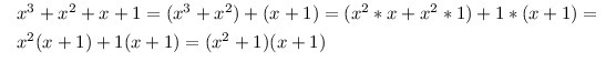
х³+х²+х+1
решите пожалуйста!!! прошу!!срочно!!!

Ответы

Ответ дал: dtnth
0
x^3+x^2+x+1=(x^3+x^2)+(x+1)=(x^2*x+x^2*1)+1*(x+1)=
x^2(x+1)+1(x+1)=(x^2+1)(x+1)
Приложения:
Вас заинтересует