Ответы
Ответ дал:
0
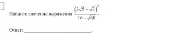
если раскрыть скобки в числителе то получится такое выражение:
(3√5 - √3)^2 = (3√5)^2 - 2*(3√5*√3) + (√3)^2 = 45 - 2*3√15 + 3
Внесём двойку из второго слагаемого под корень и получим:
48 - 3√60
Немного поколдуем над написанием(разложим 48 на множители) и получим:
3*16 - 3*√60 = 3*(16-√60)
а дальше видим, что в скобке тоже самое, что и в знаминателе, поэтому эти части сокращаются и получается ответ 3.
(3√5 - √3)^2 = (3√5)^2 - 2*(3√5*√3) + (√3)^2 = 45 - 2*3√15 + 3
Внесём двойку из второго слагаемого под корень и получим:
48 - 3√60
Немного поколдуем над написанием(разложим 48 на множители) и получим:
3*16 - 3*√60 = 3*(16-√60)
а дальше видим, что в скобке тоже самое, что и в знаминателе, поэтому эти части сокращаются и получается ответ 3.
Вас заинтересует
3 года назад
10 лет назад
10 лет назад