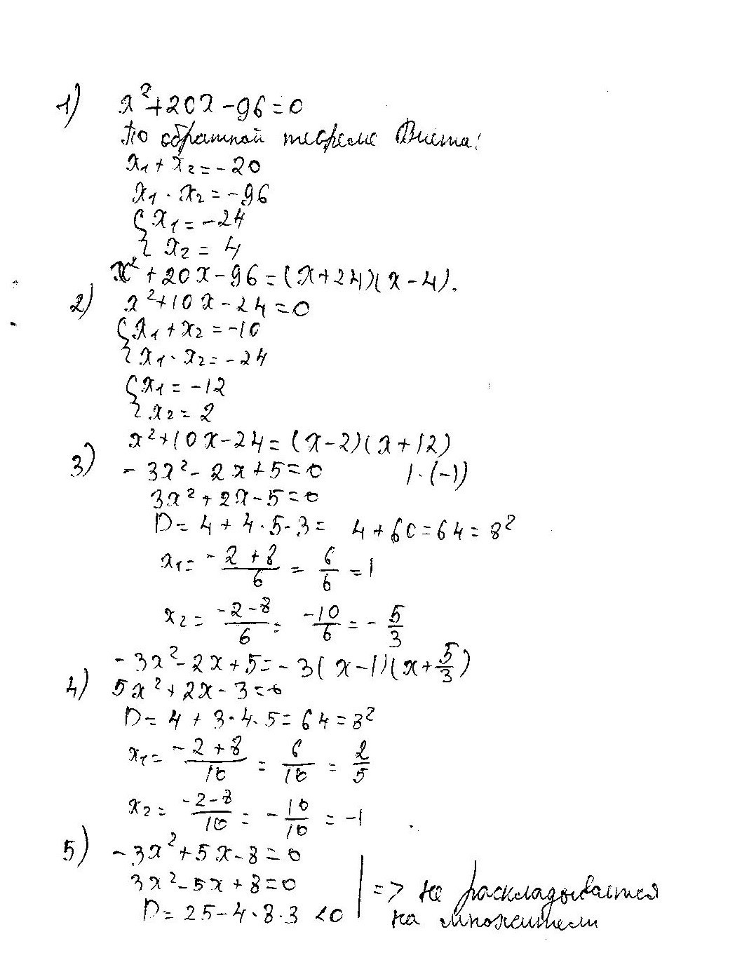
Разложить на множетили квадратный трех член
x^2+20x-96=0
x^2+10x-24=0
-3x^2-2x+5=0
5x+2x-3=0
-3x^2+5x-8=0
Ответы
Ответ дал:
0
:))))))))))))))))))))))
Приложения:

Вас заинтересует
2 года назад
7 лет назад
7 лет назад
9 лет назад
9 лет назад
10 лет назад
10 лет назад