• Предмет: Алгебра
  • Автор: zxccxz01
  • Вопрос задан 9 лет назад

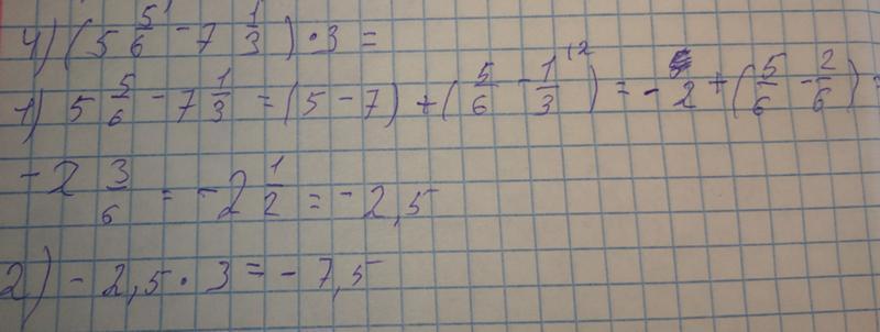
Решите пожалуйста пример


(Решение на фото есть, но оно не верное, я полагаю)

Приложения:

Ответы

Ответ дал: рор62
0
4,5 вот это ответ на пример
Ответ дал: Наталья58238
0
 (5 5/6 - 7 1/3)*3 =4,5
 1)5 5/6 - 7 2/6 = 1 3/6 (т.к. у 7 забрали еденицу)
 2) 1 3/6* 3= 9/6*3=9/2=4,5
 
Вас заинтересует