• Предмет: Математика
  • Автор: kostyapjsdfgopijsdf
  • Вопрос задан 9 лет назад

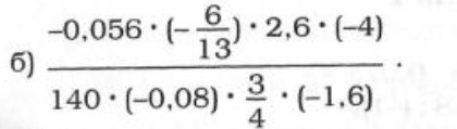
-0,056*(-(6/13))*2,6*(-4)/140*(-0,08)*(3/4)*(-1,6)

Приложения:

Ответы

Ответ дал: Svetl121
0
-0,056*(-613)*2,6*(-4)=7125*613*135*4=168625   =168*125(1680*625)=
140*(-0,08)*34*(-1,6)    140*225*34*85    1680125      

=150=0,02
Ответ дал: kostyapjsdfgopijsdf
0
спасибо
Вас заинтересует