Ответы
Ответ дал:
0
1
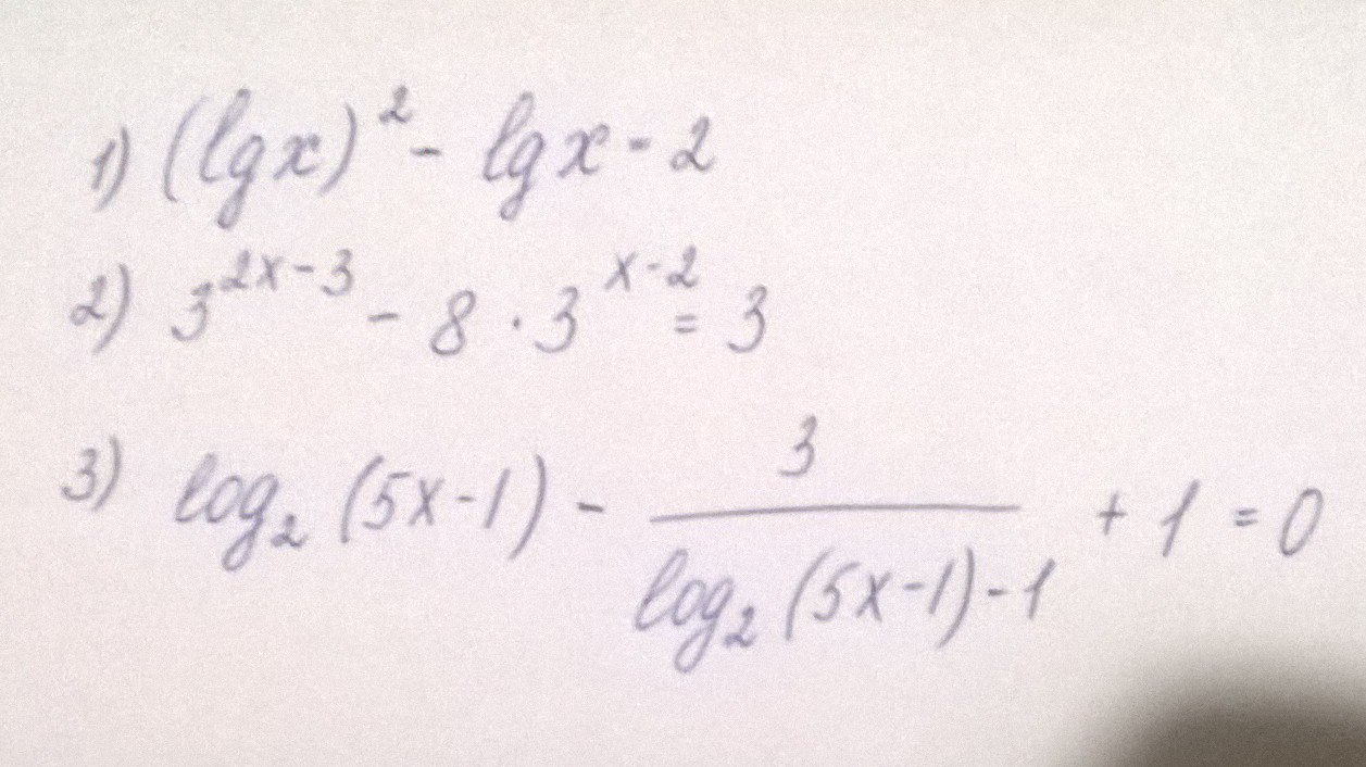
lgx=a
a²-a-2=0
a1+a2=1 U a1*a2=-2
a1=-1⇒lgx=-1⇒x=0,1
a2=2⇒lgx=2⇒x=100
2
1/27*3^2x-8/9*3^x=3
3^2x-24*3^x-81=0
3^x=a
a²-24a-81=0
a1+a2=24 U a1*a2=-81
a1=-3⇒3^x=-3 нет решения
a2=27⇒3^x=27⇒x=3
3
ОДЗ
{5x-1>0⇒5x>1⇒x>0,2
{log(2)(5x-1)≠1⇒5x-1≠2⇒5x≠3⇒x≠0,6
x∈(0,2;0,6) U (0,6;∞)
log(2)(5x-1)=a
a-3/(a-1)+1=0
a²-a-3+a-1=0
a²-4=0
(a-2)(a+2)=0
a=2⇒log(2)(5x-1)=2⇒5x-1=4⇒5x=5⇒x=1
a=-2⇒log(2)(5x-1)=-2⇒5x-1=0,25⇒5x=1,25⇒x=0,25
lgx=a
a²-a-2=0
a1+a2=1 U a1*a2=-2
a1=-1⇒lgx=-1⇒x=0,1
a2=2⇒lgx=2⇒x=100
2
1/27*3^2x-8/9*3^x=3
3^2x-24*3^x-81=0
3^x=a
a²-24a-81=0
a1+a2=24 U a1*a2=-81
a1=-3⇒3^x=-3 нет решения
a2=27⇒3^x=27⇒x=3
3
ОДЗ
{5x-1>0⇒5x>1⇒x>0,2
{log(2)(5x-1)≠1⇒5x-1≠2⇒5x≠3⇒x≠0,6
x∈(0,2;0,6) U (0,6;∞)
log(2)(5x-1)=a
a-3/(a-1)+1=0
a²-a-3+a-1=0
a²-4=0
(a-2)(a+2)=0
a=2⇒log(2)(5x-1)=2⇒5x-1=4⇒5x=5⇒x=1
a=-2⇒log(2)(5x-1)=-2⇒5x-1=0,25⇒5x=1,25⇒x=0,25
Ответ дал:
0
спасибо большое
Вас заинтересует
2 года назад
2 года назад
7 лет назад
10 лет назад
10 лет назад
10 лет назад