помогите ребята
разложение множители
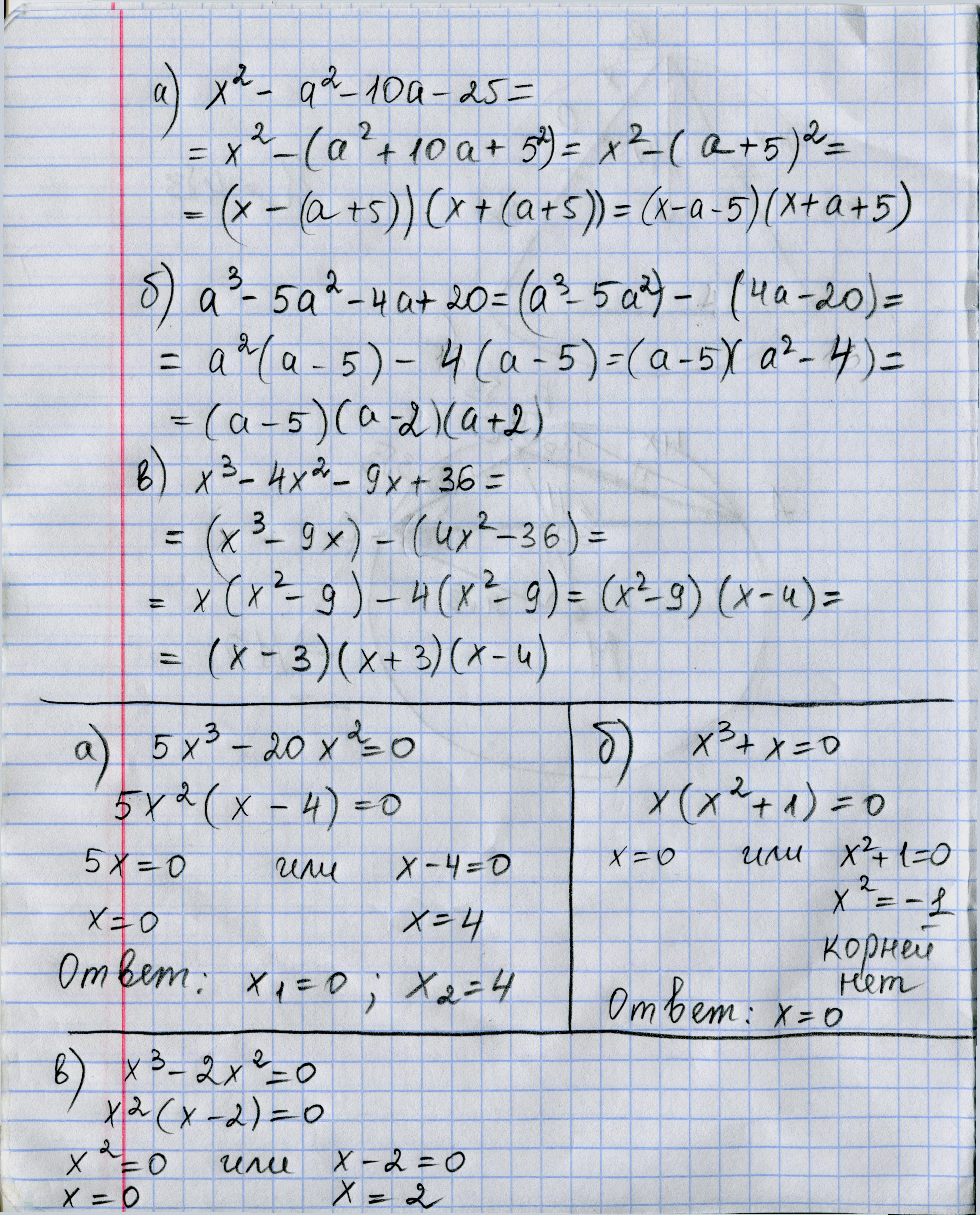
а) x^2-a^2-10a-25
б) a^3-5a^2-4a+20
c) x^3-4x^2-9x+36
решите уравнение:
a) 5x^3-20x^2=0
b) x^3+x=0
c) x^3-2x^2=0
Ответы
Ответ дал:
0
решение в прикрепленном изображении
Приложения:

Ответ дал:
0
вот тут =(а^3-5a^2)-(4a-20) = a^2(a-5)-4(a-5) = (a-5)(a^2-4) = (a-5)(a-2)(a+2)
Ответ дал:
0
исправила
Ответ дал:
0
спасибо, спасибо........................................................................
Вас заинтересует
2 года назад
2 года назад
7 лет назад
7 лет назад
9 лет назад
9 лет назад
10 лет назад