Ответы
Ответ дал:
0
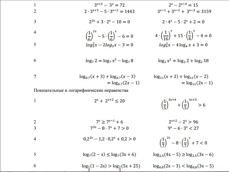
1/ 2^x+2^(x+2)≤20
2^x(1+2²)≤20
5*2^x≤20
2^x≤2²
x≤2
-----
(1/5)^(3x+4)+(1/5)^(3x+5)>6
(1/5)^(3x+4)(1+1/5)>6
(1/5)^(3x+4)*6/5>6
(1/5)^(3x+4)>(15)^-1
3x+4<-1
x<-5/3
===================
6/ log1/3 (1-2x) > log1/3 (5x+25)
ОДЗ 1-2x>0 x<1/2 5x+25>0 x>-5
1-2x<5x+25
7x>-24
x>-24/7
x⊂(-5 -24/7)
-----
log0.8(2x-3)<log0.8(3x-5)
ОДЗ 2x-3>0 x>3/2 3x>5 x>5/3 3/2=9/6 < 5/3=10/6
2x-3>3x-5
x<2
x⊂(5/3 2)
2^x(1+2²)≤20
5*2^x≤20
2^x≤2²
x≤2
-----
(1/5)^(3x+4)+(1/5)^(3x+5)>6
(1/5)^(3x+4)(1+1/5)>6
(1/5)^(3x+4)*6/5>6
(1/5)^(3x+4)>(15)^-1
3x+4<-1
x<-5/3
===================
6/ log1/3 (1-2x) > log1/3 (5x+25)
ОДЗ 1-2x>0 x<1/2 5x+25>0 x>-5
1-2x<5x+25
7x>-24
x>-24/7
x⊂(-5 -24/7)
-----
log0.8(2x-3)<log0.8(3x-5)
ОДЗ 2x-3>0 x>3/2 3x>5 x>5/3 3/2=9/6 < 5/3=10/6
2x-3>3x-5
x<2
x⊂(5/3 2)
Вас заинтересует
2 года назад
7 лет назад
7 лет назад
10 лет назад
10 лет назад
10 лет назад