поезд дальнего следования, состоящий из локомотива и 20 вагонов, преодолевает прямолинейный участок железной дороги с постоянным ускорением. Стоящий у края этого участка наблюдатель заметил, что локомотив поезда проезжает мимо него за такое же время, за какое проезжают последние 66 вагонов. Во сколько раз увеличивается скорость поезда за время, в течение которого он проезжает мимо наблюдателя? Ответ округлить до целых. Считать, что локомотив и вагоны одинаковы по своей длине и расположены вплотную друг за другом.
Ответы
Ответ дал:
0
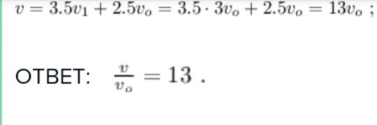
Вот держи ответ))))0)
Приложения:
Вас заинтересует
2 года назад
2 года назад
7 лет назад
7 лет назад
10 лет назад
10 лет назад
10 лет назад
10 лет назад