• Предмет: Алгебра
  • Автор: Aliss
  • Вопрос задан 9 лет назад

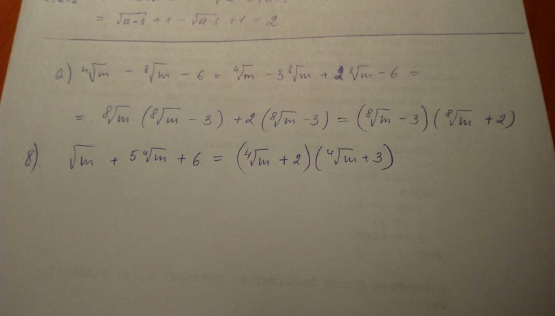
разложите на множители

Приложения:

Ответы

Ответ дал: olyafr
0
преобразуем, либо замену делаем и применяем теорему Виета
Приложения:
Вас заинтересует