• Предмет: Химия
  • Автор: Khadija56
  • Вопрос задан 9 лет назад

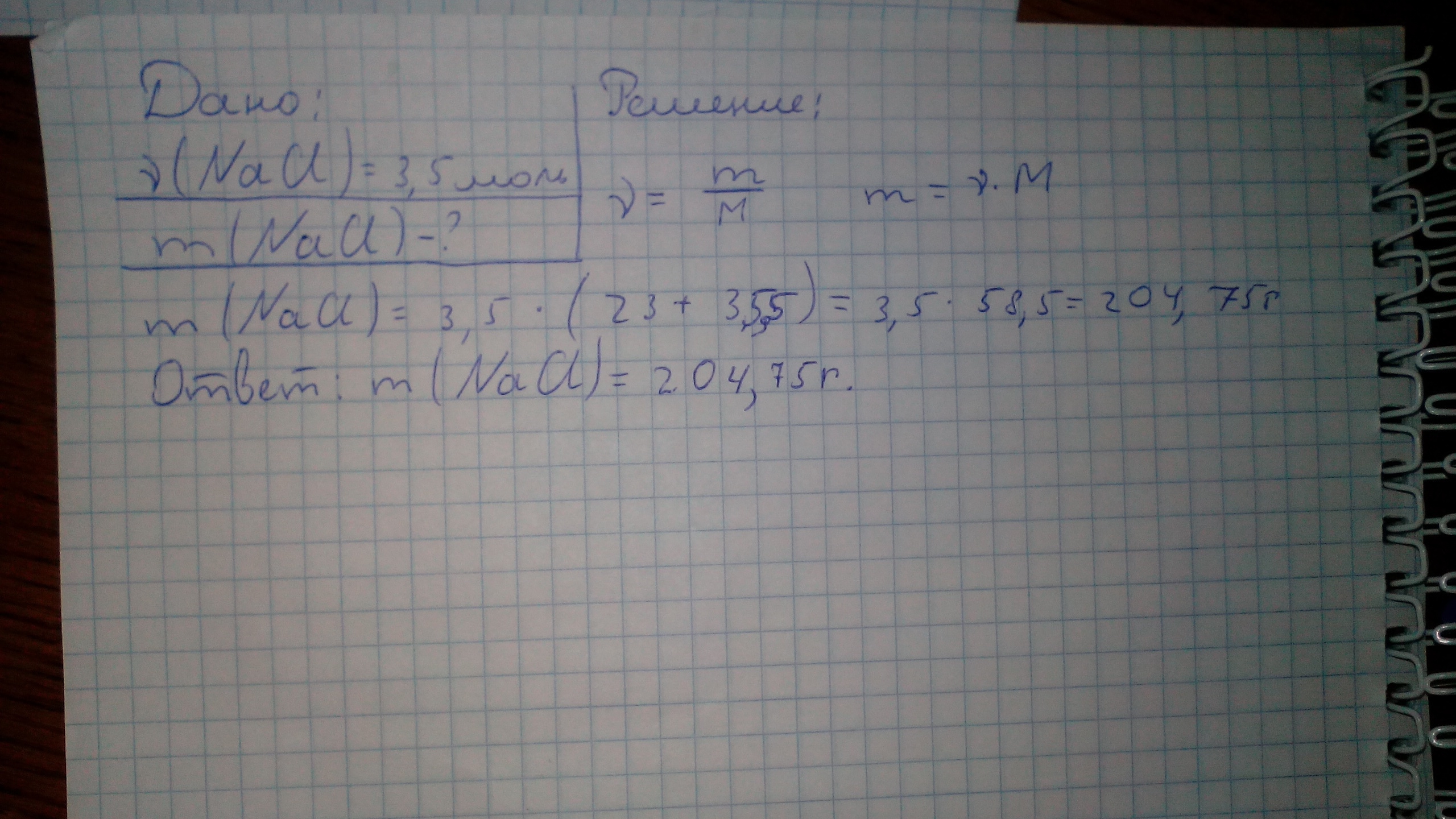
помогите пожалуйста Вычеслить массу и количество вещества 3 с половиной моль хлорида натрия помогите напишите пожалуйста весь ответ вместе с дано

Ответы

Ответ дал: bikneeva2014
0
Как-то так.Надеюсь, что верно.)



Приложения:
Ответ дал: Khadija56
0
вычеслить массу и количество вещества 3 с половиной моль хлорида натрия
Ответ дал: Khadija56
0
ну помогите
Вас заинтересует