Ответы
Ответ дал:
0
см. вложение
=====================================
Приложения:

Ответ дал:
0
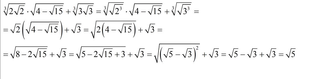
Решение:
(2^(3/2))^1/3*sqrt(4-sqrt(15))+3^(3/2)^1/3=sqrt(8-2sqrt(15))+sqrt(3)=sqrt(((sqrt3-sqrt5))^2)+sqrt(3)=|sqrt(3)-sqrt(5)|+sqrt(3)=sqrt(5)-sqrt(3)+sqrt(3)=sqrt(5).
Приложения:

Вас заинтересует
8 лет назад
10 лет назад
10 лет назад