• Предмет: Алгебра
  • Автор: rikimasha
  • Вопрос задан 9 лет назад

Помоги пожалуйста !нужно оба !
Алгебра 9 класс

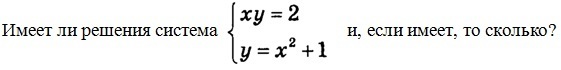
Приложения:

Ответа на этот вопрос пока нет. Попробуйте найти его через форму поиска.

Вас заинтересует