• Предмет: Алгебра
  • Автор: Alice1999
  • Вопрос задан 11 лет назад

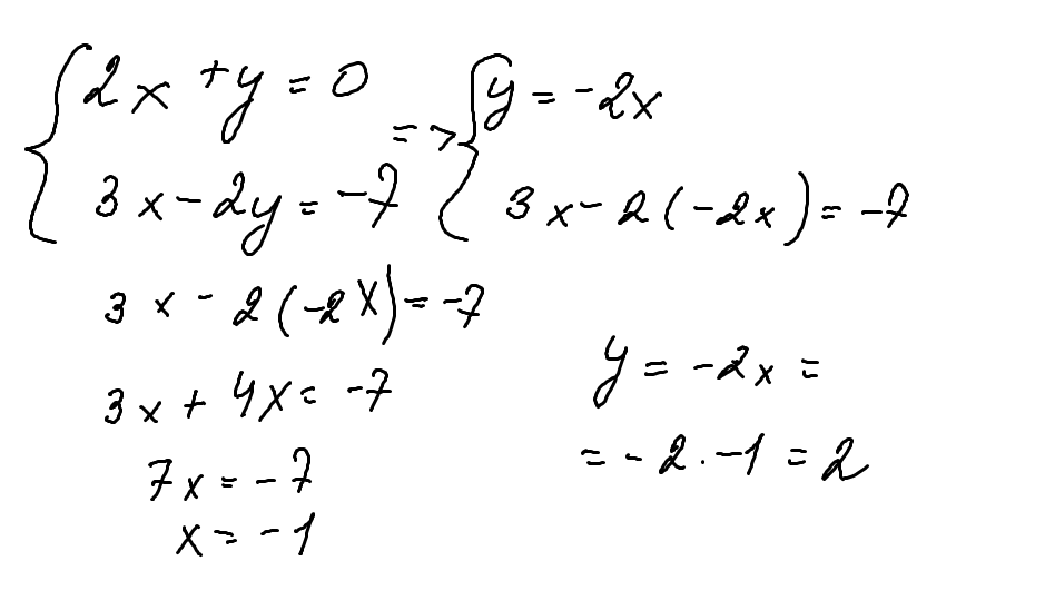
решить систему. 2x+y=0 и 3x-2y=-7

Ответы

Ответ дал: grisenko97
0

во вложениях решение системы

Приложения:
Вас заинтересует